Chapter 2 순환(Recursion)
순환(Recursion)
순환(recursion)이란, 알고리즘이나 함수가 수행 도중에 자기 자신을 다시 호출하여 문제를 해결하는 기법을 의미한다.
재귀 함수라고도 불린다.
순환과 반복
Q. $\sum\limits_{k=1}^n k$를 순환과 반복으로 구해보자.
$\sum\limits_{k=1}^n k$는 n이 주어졌을 때, $1 + 2 + 3 + … + n$으로 해결 가능하다.
이를 코드로 풀이하면 다음과 같이 나타낼 수 있다.
순환을 이용한 $\sum\limits_{k=1}^n k$
#include <stdio.h>
int sigmak(int n){
if(n == 1)
{
return (1);
}
return (n + sigmak(n - 1));
}
반복을 이용한 $\sum\limits_{k=1}^n k$
#include <stdio.h>
int main(){
int n = 0;
int ans = 0;
scanf("%d", &n);
for (int i = 1; i >= n; i++)
{
ans = ans + 1;
}
return 0;
}
둘 다 동일한 작업을 수행할 수 있지만, 순환의 경우 함수 영역 + 돌아갈 곳의 주소 + $@$ 를 계속 가지기 때문에 오버헤드와와 메모리 사용량이 크다.
메모리와 속도 면에서 반복에 비해 좋지 않기 때문에 임베디드시스템 등에서는 잘 사용하지 않는다.

따라서 반복으로 가능하다면 순환보다는 반복을 사용하는 것이 좋다.
Q. $x^n$을 순환으로 구현하자.
거듭제곱 $x^3$ 풀어서 쓰면 $x * x * x$로 나타낼 수 있다. 주어진 n(제곱)의 수 만큼 곱하면, $O(n)$으로 $x^n$을 구할 수 있다.
이를 코드로 하면 아래와 같다.
#include <stdio.h>
int power(int x, int n)
{
if(n == 0)
{
return 1;
}
else
{
return x * power(x, n - 1);
}
}
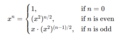
Q. $O(n)$보다 더 빠른 코드가 없을까?
단순히 $xx…*x$ 반복하는 것이 아닌 주어진 $n$이 짝수인지 홀수인지에 따라 $n$을 절반씩 줄여가며 순환적인 방법으로 1(탈출조건)에 도달하게 할 수 있다.

이를 코드로 표현하면 아래와 같다. $O(log n)$으로 동작한다.
#include <stdio.h>
int power(int x, int n)
{
if(n == 0)
{
return 1;
}
else if ((n % 2) == 0 )
{ // n == 짝수
return power(x * x, n / 2);
}
else
{ // n == 홀수
return x * power(x * x, (n - 1) / 2);
}
}
Q. Fibonacci 수열
피보나치 수열은 n번째 값을 구할 때, (n-1)번째 값과 (n-2)번째 값의 합으로 나타낼 수 있다.
이를 코드로 표현하면 아래와 같다.
#include <stdio.h>
int fibonacci(int n) {
if (n == 0) {
return 0;
}
if (n == 1) {
return 1;
}
return fibonacci(n - 2) + fibonacci(n - 1);
}
지금 피보나치 수열은 불필요한 부분이 존재한다.
다음 그림에서 색칠된 부분을 확인해보자.

순환 과정에서 동일한 함수를 부르는 불필요한 과정이 존재한다. 이를 어떻게하면 해결가능할까?
간단하다. 배열을 통해 중복되는 함수를 저장해두고, 함수를 호출하지 않고 바로 값을 리턴하자.
이를 코드로 하면 아래와 같다.
#include <stdio.h>
#define SIZE 100
int fibo_list[SIZE] = { 0, };
int fibonacci(int n)
{
if (n == 0) {
return 0;
}
if (n == 1) {
return 1;
}
if (fibo_list[n] != 0)
{
return fibo_list[n];
}
fibo_list[n] = fibonacci(n - 1) + fibonacci(n - 2);
return fibo_list[n];
}
이전의 순환만을 이용한 코드가 $O(2^n)$이었지만, 배열을 이용한다면 $O(n)$으로 효율적으로 계산가능하다.
Q. 하노이의 탑
하노이의 탑은 3개의 기둥 중 한쪽에 원판을 쌓아두고, 다른 쪽으로 모두 옮기는 게임이다.
위에 작은 원판을 치우지 않으면 아래의 원판을 옮기지 못하기 때문에 원판이 위치한 기둥과 옮기려는 기둥 외에 임시 기둥을 통해 이동시키는 것이 관건이다.
원판이 4개인 경우를 그림을 통해 살펴보자.

이처럼 A기둥에서 C기둥으로 모두 옮기기 위해서는 B기둥을 이용해 작은 원판들을 치워두고, 큰 원판부터 C로 옮겨야 한다.
하노이의 탑은 원판 수에 따라 2개일 때, 3번을, 3개일 때, 7번을, 그리고 그림과 같이 4개일 때, 15번 옮기면 최소한의 움직임으로 해결가능하다.
이를 통해 우리는 하노이의 탑의 최소이동횟수가 $2^n - 1$임을 알 수 있다.
하노이의 탑을 코드로 표현한다면 아래와 같다.
void hanoi(int _n, char _src, char _dst, char _temp)
{
if( _n == 1 )
{
printf("원판을 %c 에서 %c으로 옮긴다.\n", _src, _dst);
}
else
{
hanoi(_n - 1, _src, _temp, _dst);
printf("원판을 %c에서 %c으로 옮긴다.\n", _src, _dst);
hanoi(_n - 1, _temp, _dst, _src);
}
}
Q. 하노이의 탑 원반이 100개라면?
A. 하노이의 탑의 최소이동횟수는 $2^n - 1$이므로 $n$에 100을 넣으면
$1,267,650,600,228,229,401,496,703,205,375$
1경 2676조 5060억 0228만 2294천 0149 이라는 말도 안되는 숫자가 나온다.
만약 1번의 이동 횟수에 1나노초(nano-second)가 걸린다고 가정한다면,
약 40조 1757억 4664만 2538년이라는 우주의 나이(약 138억 년)보다 훨씬 긴 시간이 걸린다.
댓글남기기